(1) 制备了尺寸在10nm左右的超导NbC@C纳米胶囊,发现由于尺寸减小造成序参量改变引起超导临界转变温度从11.5K减小到10.7K。先前的超导纳米粒子研究主要集中在研究超导纳米粒子的尺寸与其临界转变温度和临界磁场之间的关系,我们从实验上观察了超导纳米粒子微观结构对其超导电性能的影响。NbC@C纳米胶囊压片的电阻测量表明,温度在NbC的超导临界转变温度TC和室温之间时电阻率温度关系曲线遵循Mott的T?1/4理论,源于碳基体强结构无序导致的电子变程跳跃电导。由于量子尺寸效应引起的NbC纳米粒子能级发生分立,出现Coulomb阻塞现象,在超导临界转变温度TC以下引起单电子隧穿效应。通过测量不同温度下的电流-电压特性曲线发现,由于非超导壳层能够抑制超导纳米粒子的表面超导性质,超导纳米粒子的超导能隙消失。(Phys. Rev. B 73, 193402, 2006)
NbC@C纳米胶囊的电阻率对数与T?1/4 关系曲线(电流I=100mA)。直线显示了曲线的线性关系。插图为不同温度下测量的电流-电压特性曲线。
(2) 研究了具有圆葱状碳壳层包覆磁性纳米粒子核结构的FeCo@C纳米胶囊材料的电磁波吸收性能。这种具有核/壳微观结构的铁磁-介电复合材料拥有优异的抗氧化性能和抗腐蚀性能,碳壳层保护磁性金属核不被氧化。在2–18 GHz频率范围内,FeCo@C纳米胶囊在不同的吸收层厚(1.6-8.5 mm)表现了优异的微波吸收,其反射损耗(RL)小于-20 dB (相当于99%的吸收)。在2mm吸收层厚时,反射损耗小于-10 dB的电磁波最大吸收带宽为10-18 GHz,覆盖了X-波段的一半和整个Ku-波段。在FeCo@C纳米胶囊/石蜡混合物的复介电常数和复磁导率谱线中看到微小的扰动,可能是由于纳米颗粒的电磁弛豫响应导致的。我们研究了FeCo@C纳米胶囊体系的电磁参数中的微小扰动对其整体的电磁波吸收性能的影响。消除微小扰动前后的三维效果图表明,除了等高线(白色线条)的粗糙度被平滑之外,以反射损耗RL、吸收层厚度d和入射波频率f三个参数构成的三维曲面几乎一致。这样的宽频带特性使得FeCo@C纳米胶囊成为一种性能优秀的微波吸收剂。(Appl. Phys. Lett. 95, 023114, 2009)

FeCo@C纳米胶囊的反射损耗与频率和吸收剂层厚的关系(a)平滑前,(b)平滑后
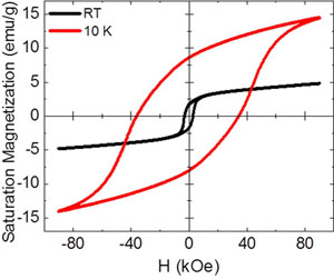
(3)通过实验制备了Fe3Se4纳米结构,研究了其硬磁性能。采用第一性原理研究了Fe3Se4纳米结构的磁晶各向异性。磁性测量显示Fe3Se4纳米粒子在低温10 K时具有40 kOe的矫顽力。这种高矫顽力性能来源于Fe3Se4中阳离子有序缺陷导致的单斜结构的单轴磁晶各向异性。测量的磁晶各向异性常数约为 1.0*107 erg/cm3,与第一性原理计算结果一致。Fe3Se4纳米粒子的磁反转机制可以归因于自旋的非一致转动。 (Appl. Phys. Lett. 99, 202103, 2011)
10 K和室温下的Fe3Se4纳米粒子磁滞回线
(4)不同于传统的金属、合金和氧化物磁体,有机磁体(部份含有或全部由有机分子构成)的磁性与合成过程密切相关。结合无机结构片段和有机分子构筑的具有单晶结构特点的有机-无机杂化磁体,由于有机相与无机相界面处存在强的价键相互作用,产生了不同于组成单元的、新的性质,在磁电耦合、磁光效应中受到广泛关注。有机分子具有柔性、易加工特性,有机-无机杂化磁体可以具有特殊的应用。磁有序温度高于室温,是磁性材料能够在室温或高于室温应用的前提。然而,从前文献中报道的磁性有机-无机杂化材料的磁有序温度均低于200 K。
在以可溶性Fe和Se为前驱体成功合成铁基β-FeSe层状超导体的基础(Chem. Mater. 2017 29(2) 842)上,在三乙烯四胺(teta)中一步合成了居里温度高于530 K的新型磁性有机-无机杂化材料,阐明了其生长机制。单相(β-Fe3Se4)4[Fe(teta)1.5]杂化纳米片,由有机配体Fe(teta)1.5和无机结构单元β-Fe3Se4构建而成,具有四方晶体结构(I4cm),其在温度低于530 K时稳定,具有亚铁磁性。(β-Fe3Se4)4[Fe(teta)1.5]杂化纳米片的居里温度不仅高于亚铁磁Fe-Se二元化合物(Fe3Se4和Fe7Se8)的居里温度,也远高于所有已报道的有序排列的有机-无机杂化材料的磁有序温度。(Chem. Mater. 30(24) 8975, 2018)

高温有机化学溶液法合成有机-无机杂化材料(β-Fe3Se4)4[Fe(teta)1.5]纳米片的示意图
近年主持或参加的科研项目/课题:
(1) 国家自然科学基金委员会, 面上项目, 51971221, 室温铁磁性铁硒-胺杂化半导体纳米材料的可控合成、磁性和电性研究, 2020-01-01 至 2023-12-31, 60万元, 主持;
(2)国家自然科学基金面上项目,面上项目, 51371175, “新型Fe3Se4基各向异性纳米结构的硬磁性能调控和矫顽力机制”,起止年月:2014.1-2017.12,80万, 主持;
(3)国际合作项目,“Development of fabrication process for rare earth free permanent magnetic materials”,起止年月:2017.01-2021.12,138万(经费来自韩国),主持;
(4) 国家自然科学基金委员会, 重点项目, 11934007, 准二维类液态热电材料电热输运的多时空尺度物理 机制, 2020-01-01 至 2024-12-31, 320万元, 参与;
(5)科技部, 国家重点研发计划变革性关键科学问题专项, 2017YFA0700702 , 功能材料界面调控原理探索, 2018-05 至 2023-04, 290万元, 参与(分配经费48万元);